2019年5月9日JACS在线发表苏州大学、西北工业大学、西北核技术研究所、四川大学等合作研究论文“Direct Radiation Detection by a Semiconductive Metal–Organic Framework”,首次报道了利用半导体金属有机框架材料实现高能X射线探测的研究工作。
实现X射线探测在医疗、工业检测、核安全、天体与高能物理等领域至关重要。传统的X射线探测材料利用闪烁体将X射线转化为可见光,经过光电倍增管后通过光电转化实现电信号读出。与闪烁体材料相比,半导体射线探测材料能够直接将辐射转化为电流信号,在实际应用过程中具有更小的探测器组成、更快的探测时间、更好的能量与空间分辨率等优势。近年来半导体辐射探测材料一直是工业界和学术界的重点关注内容,如非晶Se和非晶Si广泛应用于医用低能射线成像,高纯Ge应用于高能射线检测、TlBr和Cd(Zn)Te是较为昂贵与高性能的辐射探测材料,新型钙钛矿材料等在低剂量医学成像领域极具潜力。然而,应用需求的多样性仍然推动着多样性半导体辐射探测材料的探索与发展。
半导体金属有机框架材料是金属有机框架材料的一个新兴子课题,该类材料易于合成、其金属组分和有机组分极具设计性,具有功能和结构同时可调等多种优势。目前半导体金属有机框架材料已在催化、场效应晶体管、化学传感器等多个领域有所突破。然而,传统探测材料多为无机材料,由于本身的有机属性,这类材料能否与高能射线作用从而实现光电转化仍然未见报道。本工作提出了组装重金属与半导体配体,利用重金属吸收高能射线,半导体配体实现导电能力的思路。通过选择金属离子种类可逐步提高对硬X射线的吸收能力(图1a),设计合成了首个用于直接将高能X射线转化为电流的半导体辐射探测金属有机框架材料[(CH3)2NH2]Tb2L3(DMF)2(H2O)2(HCOO) (简称SCU-12, L = C6Cl2O42–)(图1b)。

图1. a. 利用金属调节框架材料对60 keV X射线的吸收能力;b. SCU-12结构图
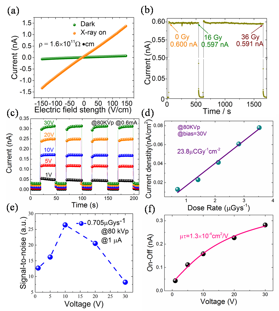
作者利用SCU-12材料进行了X射线探测器的组装,通过暗电流与X射线照射产生的电流比较证明SCU-12具有辐射响应能力(图2a),同时在连续大剂量辐照作用下,X射线产生的电流仅有1.5%的减少,突出了该类有机无机杂化材料的辐照稳定性(图2b)。作者研究了423Gy/s剂量率的X射线照射下SCU-12的光电转化能力。在偏压为1V下,SCU-12对 X射线展现出良好光电效应,其开关比可达35(图2c)。该材料也表现出高的射线探测灵敏度,可达23.8 μC Gyair-1 cm-2,该效果可与商用非晶Se材料媲美(图2d)。SCU-12对X射线的探测下限可达0.705Gy/s,远超多数商用多晶材料。SCU-12是一个高效、高度灵敏的X射线探测材料。

图2.SCU-12探测性能表征
作者进一步研究了该材料的电输运性能,通过拟合X射线产生的光电流与器件偏压的函数关系,可得到SCU-12材料中载流子与寿命积(µτ)为1.3×10-4 cm2·V-1(图2f),利用飞行时间表征技术测到了材料中电子迁移率为(3±0.29) cm2·V-1·s-1(图3)。结果表明SCU-12中有效的电荷传输能力使得该材料对X射线具有高的灵敏度和优异的探测效果。

图3. α粒子诱导的飞行时间表征技术对材料中电子迁移率的表征
本工作首次提出利用半导体金属有机框架材料实现X射线探测,为发展新型射线探测材料提供了重要指导。本工作得到了国家自然科学基金的支持。苏州大学王亚星博士和西北工业大学博士生刘欣为本论文共同第一作者。苏州大学王殳凹教授、西北工业大学徐亚东教授和西北核技术研究所欧阳晓平为本论文共同通讯作者。